主页
我
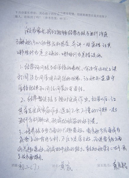
10月份优秀家长作业
嘉荫县第二中学曹红梅一年七班的博客
10月份
优秀家长
作业展览示
12年前 [10-21 21:25 周一]
<上一篇
作者博客列表
下一篇>
石宣家庭教育
返回
您尚未登录系统
我有账号 登录系统
我没有账号 用QQ登陆